
[ レポーター紹介 ]
尾崎 由記範(おざき ゆきのり)

2008年慶應義塾大学医学部、2022年東京医科歯科大学大学院を卒業。
2014年より虎の門病院、2020年よりがん研究会 有明病院 乳腺センター 乳腺内科勤務、先端医療開発科併任。
乳腺を専門とする腫瘍内科医としてがん薬物療法、臨床研究、新規治療戦略の開発に従事している。
第2回:フランスの医療制度と生活
バックナンバー
ケアネットはピンクリボン運動を支援し、乳がんの予防・診療に関わる情報提供に取り組んでいます。
ケアネットはピンクリボン運動を支援し、乳がんの予防・診療に関わる情報提供に取り組んでいます。

[ レポーター紹介 ]
尾崎 由記範(おざき ゆきのり)

2008年慶應義塾大学医学部、2022年東京医科歯科大学大学院を卒業。
2014年より虎の門病院、2020年よりがん研究会 有明病院 乳腺センター 乳腺内科勤務、先端医療開発科併任。
乳腺を専門とする腫瘍内科医としてがん薬物療法、臨床研究、新規治療戦略の開発に従事している。
第2回:フランスの医療制度と生活
バックナンバー

[ レポーター紹介 ]
尾崎 由記範(おざき ゆきのり)

2008年慶應義塾大学医学部、2022年東京医科歯科大学大学院を卒業。
2014年より虎の門病院、2020年よりがん研究会 有明病院 乳腺センター 乳腺内科勤務、先端医療開発科併任。
乳腺を専門とする腫瘍内科医としてがん薬物療法、臨床研究、新規治療戦略の開発に従事している。
第1回:Gustave Roussy留学のきっかけ
提供元:CareNet.com
レポーター: 下井 辰徳氏
(国立がん研究センター中央病院 腫瘍内科)
2025年10月17~21日にドイツ・ベルリンで開催された欧州臨床腫瘍学会(ESMO Congress 2025)では、3万7,000名を超える参加者、3,000演題弱の発表があり、乳がんの分野でも、現在の標準治療を大きく変える可能性のある複数の画期的な試験結果が発表された。
とくに、抗体薬物複合体(ADC)、CDK4/6阻害薬、およびホルモン受容体陽性乳がんに対する新規分子標的治療に関する発表が注目を集めた。臨床的影響が大きい主要10演題を早期乳がん編・転移再発乳がん編に分けて紹介する。

[目次]転移再発乳がん編
ホルモン受容体陽性HER2陰性乳がん
1.evERA
2.VIKTORIA-1
HER2陽性乳がん
3.DESTINY-Breast09
トリプルネガティブ乳がん
4.ASCENT-03
5.TROPION-Breast02
1.evERA:ESR1陽性HR+/HER2-転移乳がんに対するgiredestrant(経口SERD)+エベロリムス併用療法の有効性の報告
evERAは、ホルモン受容体(ER)陽性、HER2陰性の進行/転移乳がん患者に対する新規経口SERD「giredestrant(ギレデストラント)」にエベロリムス(mTOR阻害薬)併用の、対照群として医師選択の内分泌療法(エキセメスタン/タモキシフェン/フルベストラント)+エベロリムスに対する、有効性と安全性を検証した国際第III相臨床試験である。対象は、CDK4/6阻害薬による治療歴があるER陽性/HER2陰性進行/転移乳がん患者(ESR1変異陽性も含む)であった。373例が参加し、日本人患者も参加していた。
ITT集団において、giredestrant+エベロリムス群の無増悪生存期間(PFS)中央値は8.77ヵ月(95%信頼区間[CI]:6.60~9.59)に対し、対照群(内分泌療法+エベロリムス)では 5.49ヵ月(95%CI:4.01~5.59)(ハザード比[HR]:0.56、95%CI:0.44~0.71、p<0.0001)であり、統計学的有意にgiredestrant群のPFSが良好であった。ESR1変異陽性サブ集団では、PFS中央値が9.99ヵ月(95%CI:8.08~12.94)に対し、対照群で5.45ヵ月(95%CI:3.75~5.62)、PFSのHR:0.38(95%CI:0.27~0.54、p<0.0001)であり、統計学的有意にgiredestrant群のPFSが良好であった。
全生存期間(OS)データは未成熟だが、ITT集団ではHR:0.69(95%CI:0.47~1.00、p=0.0473)、ESR1変異陽性ではHR:0.62(95%CI:0.38~1.02、p=0.0566)と、良好な傾向であった。安全性については、giredestrant+エベロリムス併用群は、既知の薬剤プロファイルに準じた有害事象(AE)が観察され、新たな安全信号は確認されていないと報告。主要な有害事象としては、口内炎(stomatitis)、下痢、貧血など、エベロリムスでよく知られた有害事象が中心であり、giredestrantに特徴的な有害事象としてはGrade 1/2の徐脈(3.8%)であり、忍容性は良好と報告されていた。
日本ではあまり積極的に使用されていないエキセメスタンなどの内分泌療法とエベロリムスの併用療法であるが、欧米ではCDK4/6阻害薬治療後の2次治療での主要な選択肢になっている。このため、evERAの結果を受けて、今後のCDK4/6阻害薬による治療で病勢進行した場合の主要な選択肢としてgiredestrantとエベロリムスが期待される結果となった。PFSとOSのトレンドとしては、ESR1変異のある症例での有効性に、ITTも引っ張られている様子で、ESR1変異のない集団では試験治療群と対照群のPFSやOSの差はほとんどない様子であった。このため、これまでのほかの経口SERD同様に、ESR1変異のある症例での承認を目指していくことと思われる。
2.VIKTORIA-1:PAM経路(PI3K/AKT/mTOR)阻害によるホルモン耐性乳がんの克服
VIKTORIA-1は、CDK4/6阻害薬とアロマターゼ阻害薬による治療後に進行したHR+/HER2-/PIK3CA野生型進行乳がん患者を対象とした第III相ランダム化試験である。VIKTORIA-1にはPIK3CA変異コホートもあるが、今回は報告されていない。392例の患者が、「gedatolisib(ゲダトリシブ)」(PI3K/mTORC1/mTORC2阻害薬、点滴)+パルボシクリブ+フルベストラント(3剤併用群)、gedatolisib +フルベストラント(2剤併用群)、またはフルベストラント単独群にランダム割付された。
3剤併用群は、フルベストラント単独群と比較して、HR:0.24、95%CI:0.17~0.35、p<0.0001と、PFSを改善させた。PFSの中央値は3剤併用群9.3ヵ月に対してフルベストラント単独群2.0ヵ月(差:+7.3ヵ月)であった。2剤併用群は、フルベストラント単独群と比較して、HR:0.33(95%CI:0.24~0.48、p<0.0001)と、PFSを改善させた。PFSの中央値は2剤併用群7.4ヵ月に対してフルベストラント単独群2.0ヵ月であった。
gedatolisibベースの治療は良好に忍容され、治療関連有害事象により中止した患者はごく少数であった。
これまでも、CDK4/6阻害薬耐性HR+乳がん患者に対して、PAM経路標的化は新しい治療戦略を提供することを示唆してきた。gedatolisibの二重特異的阻害特性により、より強力な細胞周期制御と耐性機序の同時阻害が期待されるが、VIKTORIA-1の結果は、トリプレット療法がこの高度に耐性のある患者集団に対してとくに有望であることを示唆した。CDK4/6阻害薬の治療後にCDK4/6阻害薬のbeyond progressionの使用の有効性を示したpostMONARCHやMAINTAINは別のCDK4/6阻害薬からの変更が主体であったが、VIKTORIA-1で3剤併用群のパルボシクリブ併用の症例のうち約4割はパルボシクリブによる前治療歴があり、パルボシクリブのシークエンスでもある程度上乗せ効果が期待できる可能性を示唆している。また、VIKTORIA-1は日本では実施されておらず、今後はドラッグロスの1つとなる可能性が懸念される。
来年度以降の1次、2次内分泌療法のシークエンス(予想)は以下のとおり。

3.DESTINY-Breast09サブグループ解析:サブグループによらずT-DXd+PERが標準治療に
DESTINY-Breast09(第III相、トラスツズマブ デルクステカン[T-DXd]+ペルツズマブ[T-DXd+PER群]vs.標準療法:タキサン+トラスツズマブ+ペルツズマブ[THP群])は、ASCO2025で、すでにその主要評価項目が発表され、T-DXd+PER群のTHP群に対するPFSの優越性が検証された。今回ESMO Congress 2025では、すべてのサブグループでT-DXd+ペルツズマブがPFSを大きく延長したことが報告された。T-DXd+PER群のPFSのHRや中央値は既存標準治療を大きく上回る結果で、今後、1次治療の標準になる可能性が示された。
サブグループ解析結果のまとめを以下に示す。

4.ASCENT-03:PD-L1陰性のTNBCの初回治療にサシツズマブ ゴビテカンが名乗りを上げる
ASCENT-03は、免疫療法が適応とならないPD-L1陰性またはPD-1/PD-L1阻害薬不適格の未治療転移トリプルネガティブ乳がん(TNBC)患者を対象とした第III相ランダム化試験である。558例が、サシツズマブ ゴビテカン(SG)群または化学療法(パクリタキセル、アルブミン懸濁パクリタキセル、またはゲムシタビン+カルボプラチン)群にランダム割付された。
中央値13.2ヵ月のフォローアップで、PFSの中央値はSG群で9.7ヵ月、化学療法群で6.9ヵ月(HR:0.62、p<0.0001)であり、統計学的有意にPFSの改善を示した。奏効期間(DOR)の中央値はSG群で12.2ヵ月、化学療法群で7.2ヵ月で、SG群で著しく長かった。奏効率(ORR)は両群で同程度であった(48%vs.46%)。発表時点でOSデータはまだ未成熟であったが、試験としては、対照群では2次治療以降で希望者は企業提供によりSG治療のクロスオーバーが可能であった。このため、82%が2次治療以降でSGを受けたとされる。
有害事象は、SG群の好中球数減少など、これまでに知られている内容から大きな違いはなかった。約40~60%の転移TNBC患者はPD-L1陰性であり、そういった患者に対するより有効な治療が期待されている。本試験結果は、現在2次治療以降で使用されているSGが初回治療の標準治療となりうる可能性を示した重要な結果であった。
5.TROPION-Breast02:もう1つのADC TNBC初回治療成績
TROPION-Breast02は、免疫療法が適応とならない未治療の転移・局所再発TNBC患者644例を対象に、抗TROP2 ADC「ダトポタマブ デルクステカン(Dato-DXd)」の1次治療としての有効性・安全性を主治医選択の化学療法と比較した国際第III相試験である。主要評価項目はPFSとOSであった。
結果として、PFS中央値はDato-DXd群10.8ヵ月、化学療法群5.6ヵ月であり、PFSのHR :0.57(95%CI:0.47~0.69、p<0.0001)、OS中央値はDato-DXd群23.7ヵ月、化学療法群18.7ヵ月であり、OSのHR:0.79(95%CI:0.64~0.98、p=0.0291)と、いずれも統計学的有意にDato-DXd群が良好であった。ORRもDato-DXd群62.5%、化学療法群29.3%と、Dato-DXd群が良好であった。安全性としては主なGrade3以上有害事象は口内炎・粘膜炎、視覚障害であり、これまでの報告に比べて新たな有害事象報告は認めなかった。
以下に、ASCENT-03とTROPION-Breast02の違いをまとめる。
なお、対照群の治療内容が異なるため、奏効率も各試験で異なっている。ASCENT-03は人道的配慮から、企業が対照群の病勢進行後のSGを提供することでクロスオーバーを許容しており、OSの差が検出されづらくなっていた。一方でTROPION-Breast02はクロスオーバーが実質的に不可能であるため、OSの差が中間解析の段階で検証されたと思われる。奏効率に関しては、試験治療群の結果を見る限りでは、Dato-DXdのほうが高いように思われた。来年以降将来的には、PD-L1陽性群ではSG+ペムブロリズマブがASCENT-04に基づいて初回治療として検討され、PD-L1陰性群ではSGまたはDato-DXdが検討される時代になると想定される。その際には、SGまたはDato-DXdのいずれを優先するか、次治療で別のTROP2 ADCへのシークエンスをどうするか、HER2低発現でT-DXdへのシークエンスをどうするか、などの検討が生まれるだろう。現時点でのデータの状況であれば、SGまたはDato-DXdのいずれを優先するかについては、有害事象の違いを考慮する必要があるが、OS利益がはっきりしているDato-DXdのほうに分があるように思われる。

今回のESMO Congress2025では、数多くのランダム化第III相試験の結果が報告され、実臨床を大きく変える研究結果が報告された。各試験の限界や問題点を考慮しつつ、来年以降の標準治療のあるべき姿と、生まれてきた新たなクリニカルクエスチョンに関して、創出すべきエビデンスを考えていきたいと思う。

下井 辰徳 ( しもい たつのり )氏
国立がん研究センター中央病院 腫瘍内科
提供元:CareNet.com
レポーター: 下井 辰徳氏
(国立がん研究センター中央病院 腫瘍内科)
2025年10月17~21日にドイツ・ベルリンで開催された欧州臨床腫瘍学会(ESMO Congress 2025)では、3万7,000名を超える参加者、3,000演題弱の発表があり、乳がんの分野でも、現在の標準治療を大きく変える可能性のある複数の画期的な試験結果が発表された。
とくに、抗体薬物複合体(ADC)、CDK4/6阻害薬、およびホルモン受容体陽性乳がんに対する新規分子標的治療に関する発表が注目を集めた。臨床的影響が大きい主要10演題を早期乳がん編・転移再発乳がん編に分けて紹介する。

[目次]早期乳がん編
ホルモン受容体陽性HER2陰性乳がん
1.monarchE
HER2陽性乳がん
2.DESTINY-Breast05
3.DESTINY-Breast11
トリプルネガティブ乳がん
4.PLANeT
その他
5.POSITIVE
1.monarchE:HR陽性/HER2陰性早期乳がん患者における術後療法の全生存期間の改善効果
monarchEは、高リスクホルモン受容体陽性(HR+)、HER2陰性早期乳がん患者における術後療法の有効性を評価する第III相ランダム化試験である。5,120例が内分泌療法単独または2年間のアベマシクリブと内分泌療法の組み合わせにランダム割付された。高リスク患者は、腋窩リンパ節≧4個陽性、または1~3個陽性で組織学的グレード3および/または腫瘍径≧5cm、あるいはKi67≧20%と定義された。
中央値76ヵ月のフォローアップで、アベマシクリブ+ホルモン療法はホルモン療法単独と比較して、死亡リスクを15.8%低下させた(ハザード比[HR]:0.842、p=0.0273)。7年時点での無浸潤疾患生存(iDFS)イベントリスクの低下は26.6%(名目上のp<0.0001)、無遠隔再発生存(DRFS)イベントリスクの低下は25.4%(名目上のp<0.0001)であった。約7年追跡時点で、標準内分泌療法+アベマシクリブ群の全生存(OS)率は86.8%、内分泌療法単独群は85.0%であり、絶対差は1.8%であった。これらの成績は、アベマシクリブ中止後も長期間持続し、乳がん術後内分泌療法におけるCDK4/6阻害薬併用が微小転移性疾患を持続的に抑制する可能性を示している。
術後治療でHR陽性HER2陰性乳がんのみに限定して、全生存期間の改善を示した臨床試験は限られており、その意味でも非常に意義深い結果である。
2.DESTINY-Breast05:HER2陽性乳がん再発高リスク患者における術前薬物療法後に残存病変を有する症例に対するトラスツマブ デルクステカンの追加効果の検証
DESTINY-Breast05は、術前薬物療法後に非pCR(残存浸潤病変を有する)の高リスクHER2陽性早期乳がん患者を対象とした、第III相ランダム化試験である。本試験では、トラスツズマブ デルクステカン(T-DXd)と、標準治療であるトラスツズマブ エムタンシン(T-DM1)を比較した。
1,635例が登録され、3年iDFS率はT-DXd群92.4%(95%信頼区間[CI]:89.7~94.4)に対し、T-DM1群83.7%(95%CI:80.2~86.7)であった。浸潤性再発または死亡のリスクはT-DXd群で53%減少した(HR:0.47、95%CI:0.34~0.66、p<0.0001)。
Grade3以上の有害事象発生率は両群でほぼ同等であった(T-DXd群50.6%、T-DM1群51.9%)。ただし、薬剤性間質性肺疾患(ILD)はT-DXd群でより多く報告され(9.6%vs.1.6%)、2例の致死例(Grade 5)が認められた。左室機能障害は低率であった(1.9%)。
これらの結果は、T-DXdが治癒を目指す術前療法領域に進出しうることを示唆しており、高リスク残存病変例における新たな標準治療候補として位置付けられる。さらに、本試験結果を実臨床で運用する上でのILDの評価と早期介入が必要であることを示唆した。
DB-05とKATHERINEの患者対象の違いは以下のとおり。

3.DESTINY-Breast11:HER2陽性乳がんにおける術前抗がん剤治療におけるアントラサイクリン除外戦略
DESTINY-Breast11は、高リスクHER2陽性早期乳がんに対し、アントラサイクリン非使用戦略を評価した第III相試験である。T3以上、リンパ節転移陽性、または炎症性乳がんを対象に、640例がT-DXd-THP(T-DXd単独→パクリタキセル+トラスツズマブ+ペルツズマブ)群またはddAC-THP(ドキソルビシン+シクロホスファミド→THP)群に割り付けられた。
pCR(病理学的完全奏効)割合はT-DXd-THP群で67.3%、ddAC-THP群で56.3%(差:11.2ポイント、95%CI:4.0~18.3、p=0.003)であった。ホルモン受容体状態にかかわらず一貫した傾向を示した。無イベント生存期間(EFS)ではT-DXd-THP群に有利なトレンドがみられた(HR:0.56、95%CI:0.26~1.17)。
有害事象(Grade≧3)はT-DXd-THP群で37.5%、ddAC-THP群で55.8%と低率で、左室機能障害も少なかった(1.9%vs.9.0%)。ILDの発生は両群で低頻度かつ同等であった。
この結果から、HER2陽性乳がんの周術期治療としてアントラサイクリンの使用が必須ではないことが示唆され、T-DXdを基盤とする新術前療法が高い奏効割合と毒性の低減を両立しうることが検証された。とくに海外においては、アントラサイクリン系抗がん剤の使用に対する忌避が強く、カルボプラチンとドセタキセル併用のレジメンが中心となってきているが、今回の結果はアントラサイクリン系の省略に向けたさらなる示唆を提示した。
早ければ来年度中に、本邦でもDB05、DB11レジメンが適応拡大される可能性がある。先のDB05と相まって、いずれも選択可能となった場合に、術前療法でT-DXdを使用するのか、EFSなど長期成績がT-DXd群で改善することが証明されてからDB11が運用されていくべきなのか、pCR割合の改善をもって標準治療としてよいと考えるか、現在議論になっている。

4.PLANeT:TNBCの周術期治療における低用量ペムブロリズマブの併用
PLANeTは、インド・ニューデリーのがん専門施設単施設において実施された第II相ランダム化試験である。StageII~IIIのトリプルネガティブ乳がん(TNBC)患者に対して、標準的術前化学療法に「低用量ペムブロリズマブ(50mg/6週間ごと×3回)」を併用する群vs.化学療法単独群(dose dense AC療法とdose denseパクリタキセル療法)の比較であった。主要評価項目は術前化学療法+低用量ペムブロリズマブ併用群と化学療法単独群のpCR割合の比較であり、副次評価項目にiDFSやQOLが含まれていた。すでに、TNBC患者に対する周術期治療におけるペムブロリズマブの通常用量(200mg/3週間ごとなど)の併用は、KEYNOTE-522試験においてpCR割合、EFS、OS改善が証明されており、標準治療となっている。一方で、低〜中所得国・医療資源制限環境では高額薬剤/免疫療法アクセスが課題となっており、“低用量併用”戦略がコスト・アクセス面で代替案になりうる可能性が検討されている。
本試験では、157例が各群に割り付けられ(低用量併用群78例、対照群79例)、治療が実施された。ITT解析でのpCR割合は低用量併用群53.8%(90%CI:43.9~63.5)、対照群40.5%(90%CI:31.1~50.4)、絶対差:13.3%(90%CI:0.3~26.3、片側p=0.047)であり、ペムブロリズマブ低用量併用による、統計学的有意なpCR割合の改善が示された。また、有害事象としても、Grade 3以上の有害事象は低用量併用群50%、対照群59.5%で、重篤毒性はむしろ低率であった。とくにirAEとして、甲状腺機能障害は低用量併用群10.3%と、KEYNOTE-522試験よりも低めであった。ただし、低用量併用群で1例の治療関連死亡(中毒性表皮壊死症)が報告された。
本試験はフォローアップ期間・無病生存データ・最終OSデータなどはまだ不十分で、「仮説生成的(hypothesis‐generating)」段階であるものの、コスト・アクセス改善(低用量による医療経済性改善)を重視した設計であり、とくに資源制約のある地域で免疫療法併用治療を普及させる可能性が示唆された。ただ、問題としてはペムブロリズマブ50mgという投与量が十分か? という科学的根拠はほとんどない様子であり、KEYNOTE-522試験レジメンが使用可能な国における標準治療に影響を与えるものではない。
5.POSITIVE:妊娠試みによる内分泌療法中断の予後や出産児に与える影響の検討
POSITIVE(Pregnancy Outcome and Safety of Interrupting Therapy for young oNco‐breast cancer patients)は、若年HR+乳がん患者において、術後内分泌療法を一時中断して、再発リスクを増やさずに妊孕(妊娠を試みること)可能かを検証した前向き試験である。ESMO Congress 2025では、5年フォローアップ成績が報告されており、“妊娠試みによる内分泌療法中断”が少なくとも5年時点では再発リスクを有意に増加させていないという結果が報告された。
518例のHR陽性 StageI~III乳がん患者が、術後18~30ヵ月内分泌療法を継続した後、最大2年間の内分泌療法中断で妊娠を試み、その安全性と妊孕性、再発への影響を評価された。登録時の平均年齢は35~39歳が最多。対象の75%は出産歴がなく、62%が化学療法も受けていた。
5年乳がん無発症割合(BCFI)は、POSITIVE群12.3%、外部対照のSOFT/TEXT群13.2%と差は−0.9%(95%CI:−4.2%~2.6%)であった。5年無遠隔再発率(DRFI)はPOSITIVE群6.2%、SOFT/TEXT群8.3%(差:−2.1ポイント%、95%CI:−4.5%~0.4%)で、内分泌療法一時中断による再発・転移リスク増加は認められなかった。HER2陰性のサブ解析でも同様の結果。年齢やリンパ節転移、化学療法歴などで層別しても有意差なしだった。
試験期間中、76%が少なくとも一度妊娠し、91%が少なくとも一度生児出産。365人の子供が誕生した。出生児の8.6%が低出生体重、1.6%が先天性欠損だったが、これは一般母集団と同等であった。また、ART(胚・卵子凍結など)を利用した女性でも再発リスクは非利用者と同等であり、母乳育児も高率で実現し、安全であることも確認された。内分泌療法中断後、82%が内分泌療法を再開した。
POSITIVE試験は、妊娠希望のHR陽性乳がん女性が、内分泌療法を最大2年中断して妊娠・出産しても短期再発リスクは増加しないこと、妊娠やART、母乳育児の成績・安全性も良好で、安心材料となるエビデンスを提供しており、患者さんへのShared decision makingに非常に役立つ結果であった。

下井 辰徳 ( しもい たつのり )氏
国立がん研究センター中央病院 腫瘍内科
提供元:CareNet.com

本連載は、臨床研究のノウハウを身につけたいけれど、メンター不在の臨床現場で悩める医療者のための、「実践的」臨床研究入門講座です。臨床研究の実践や論文執筆に必要な臨床疫学や生物統計の基本について、架空の臨床シナリオに基づいた仮想データ・セットや、実際に英語論文化した臨床研究の実例を用いて、解説していきます。
Cox比例ハザード回帰モデルによる交絡因子調整の実際 その2
前回はわれわれのResearch Question(RQ)をCox比例ハザード回帰モデルの式に当てはめて考えました。また、Cox比例ハザード回帰モデルを適用する前提条件である「比例ハザード性」の検証に必要な二重対数プロットの描画方法を、仮想データ・セットを用いたEZR(Easy R)の操作手順を交えて説明しました(連載第58回参照)。今回は、実際に仮想データ・セットを用いて、EZRを使用したCox比例ハザード回帰モデルによる交絡因子の調整方法について解説します。
まず、以下の手順で仮想データ・セットをEZRに取り込んでください。
「ファイル」→「データのインポート」→「Excelのデータをインポート」
次に、メニューバーから以下の順に選択します。
「統計解析」→「生存期間の解析」→「生存期間に対する多変量解析(Cox比例ハザード回帰)」
ポップアップウィンドウが開きますので、モデル名は「Cox比例ハザード回帰_透析導入」などと入力しましょう。
前回までに説明したようにCox比例ハザード回帰モデルによる多変量解析では下記の3種類の変数が必要になります(連載第58回参照)。
まずは、交絡因子による調整前の単変量解析の結果を確認しましょう。
時間:Year
イベント:Censor
説明変数:treat
のみを選択し、「OK」をクリックします。すると、単変量解析の結果が下図のように示されます。

次に多変量解析を行います。前回示したCox比例ハザード回帰モデルの数式に示したように、すべての説明変数を+でつないで選択します(下図)。
説明変数:treat+age+sex+dm+sbp+eGFR+Loge_UP+albumin+hemoglobin

それでは「OK」をクリックしましょう。EZRのRコマンダー出力ウィンドウに表示された解析結果のうち、主要なものを以下に解説します。
検証したい要因であるtreat(厳格低たんぱく食の遵守の有無)のみを説明変数としたモデルでは、ハザード比(hazard ratio:HR)の点推定値は1.321であり、treat群は透析導入のリスクが高いことを示していますが、95%信頼区間(95% confidence interval:95%CI)は1をまたいでおり統計学的有意差はありません。
多変量解析の結果は出力ウィンドウの最後に表示されています。

単変量解析ではtreat群は透析導入のリスクを上げる傾向でしたが、多変量解析で交絡因子をCox比例ハザード回帰モデルに投入した結果、調整後のHRの点推定値は0.8239となり、リスクがむしろ下がる方向に変化しました。しかし、95%CI(0.5960~1.1390)は1をまたいでいるため、統計学的に有意差はありませんでした(p=2.412e-01=0.2413)(連載第51回参照)。

長谷川 毅 ( はせがわ たけし ) 氏
昭和医科大学臨床疫学研究所 所長・教授
昭和医科大学大学院医学研究科 衛生学・公衆衛生学分野/腎臓内科学分野 兼担教授
福島県立医科大学臨床研究イノベーションセンター 特任教授
[略歴]
1996年昭和大学(現昭和医科大学)医学部卒業。
2007年京都大学大学院医学研究科臨床情報疫学分野(臨床研究者養成コース)修了。
都市型および地方型の地域中核病院で一般内科から腎臓内科専門診療、三次救急から亜急性期リハビリテーション診療まで臨床経験を積む。その臨床経験の中で生じた「臨床上の疑問」を科学的に可視化したいという思いが募り、京都の公衆衛生大学院で臨床疫学を学び、米国留学を経て現在に至る。
バックナンバー
39. リサーチ・クエスチョンのブラッシュアップ‐E(要因)およびC(比較対照)設定の要点と実際 その2
38. リサーチ・クエスチョンのブラッシュアップ‐E(要因)およびC(比較対照)設定の要点と実際 その1
37. リサーチ・クエスチョンのブラッシュアップ‐O(アウトカム)設定の要点と実際 その2
36. リサーチ・クエスチョンのブラッシュアップ‐O(アウトカム)設定の要点と実際 その1
35. リサーチ・クエスチョンのブラッシュアップーP(対象)設定の要点と実際 その2
34. リサーチ・クエスチョンのブラッシュアップーP(対象)設定の要点と実際 その1
33. リサーチ・クエスチョンのブラッシュアップー関連研究レビュー 1次情報源の活用 実際にPubMed検索式を作ってみる その8
32. リサーチ・クエスチョンのブラッシュアップー関連研究レビュー 1次情報源の活用 実際にPubMed検索式を作ってみる その7
31. リサーチ・クエスチョンのブラッシュアップー関連研究レビュー 1次情報源の活用 実際にPubMed検索式を作ってみる その6
30. リサーチ・クエスチョンのブラッシュアップー関連研究レビュー 1次情報源の活用 実際にPubMed検索式を作ってみる その5
29. リサーチ・クエスチョンのブラッシュアップー関連研究レビュー 1次情報源の活用 実際にPubMed検索式を作ってみる その4
28. リサーチ・クエスチョンのブラッシュアップー関連研究レビュー 1次情報源の活用 実際にPubMed検索式を作ってみる その3
27. リサーチ・クエスチョンのブラッシュアップー関連研究レビュー 1次情報源の活用 実際にPubMed検索式を作ってみる その2
26. リサーチ・クエスチョンのブラッシュアップー関連研究レビュー 1次情報源の活用 実際にPubMed検索式を作ってみる その1
25. リサーチ・クエスチョンのブラッシュアップー関連研究レビュー 1次情報源の活用 PubMed検索 その5
24. リサーチ・クエスチョンのブラッシュアップー関連研究レビュー 1次情報源の活用 PubMed検索 その4
23. リサーチ・クエスチョンのブラッシュアップー関連研究レビュー 1次情報源の活用 PubMed検索 その3
22. リサーチ・クエスチョンのブラッシュアップー関連研究レビュー 1次情報源の活用 PubMed検索 その2
21. リサーチ・クエスチョンのブラッシュアップー関連研究レビュー 1次情報源の活用 PubMed検索 その1
20. リサーチ・クエスチョンのブラッシュアップー関連研究レビュー 学術誌、論文、著者の影響力の指標 その3
19. リサーチ・クエスチョンのブラッシュアップー関連研究レビュー 学術誌、論文、著者の影響力の指標 その2
18. リサーチ・クエスチョンのブラッシュアップー関連研究レビュー 学術誌、論文、著者の影響力の指標 その1
17. リサーチ・クエスチョンのブラッシュアップー関連研究レビュー CONNECTED PAPERSの活用 その3
16.リサーチ・クエスチョンのブラッシュアップー関連研究レビュー CONNECTED PAPERSの活用 その2
15. リサーチ・クエスチョンのブラッシュアップー関連研究レビュー CONNECTED PAPERSの活用 その1
14. リサーチ・クエスチョンのブラッシュアップー関連研究レビュー コクラン・ライブラリーの活用 その3
13. リサーチ・クエスチョンのブラッシュアップー関連研究レビュー コクラン・ライブラリーの活用 その2
12. リサーチ・クエスチョンのブラッシュアップー関連研究レビュー コクラン・ライブラリーの活用その1
11. リサーチ・クエスチョンのブラッシュアップー関連研究レビュー UpToDateの活用その2
10. リサーチ・クエスチョンのブラッシュアップー関連研究レビュー UpToDateの活用その1
9. リサーチ・クエスチョンのブラッシュアップー関連研究レビュー 文献管理その3
8. リサーチ・クエスチョンのブラッシュアップー関連研究レビュー 文献管理その2
7. リサーチ・クエスチョンのブラッシュアップー関連研究レビュー 文献管理その1
6. リサーチ・クエスチョンのブラッシュアップー関連研究レビュー 診療ガイドラインの活用その3
5. リサーチ・クエスチョンのブラッシュアップー関連研究レビュー 診療ガイドラインの活用その2
4. リサーチ・クエスチョンのブラッシュアップー関連研究レビュー 診療ガイドラインの活用その1
3. リサーチ・クエスチョンのブラッシュアップー関連研究レビューその2
掲載内容はケアネットの見解を述べるものではございません。
(すべての写真・図表等の無断転載を禁じます。)
|企画・制作|ケアネット
2025年10月17~21日に開催されたESMO Congress2025の乳がんトピックを、がん研有明病院の尾崎 由記範氏が速報レビュー。

尾崎 由記範 ( おざき ゆきのり ) 氏
がん研究会有明病院 乳腺センター 乳腺内科/先端医療開発科

[レポーター紹介]
高橋 洋子(たかはし ようこ)

山形大学医学部 卒業
東京医療センター 外科研修医
慶應義塾大学 一般・消化器外科 乳腺班
国際医療福祉大学/医療法人順和会 山王病院 乳腺外科
帝京大学医学部 外科
がん研究会有明病院 乳腺外科
University of Hawai`i Cancer Center, Translational and Clinical Research, Cancer Biology, Research Scholar
米国ハワイでのがん研究の実際、重要な担い手となっているのは
私の所属する University of Hawai`i Cancer Centerでは、PI(Principal Investigator)に数名の研究員が所属し、研究費に応じて複数のプロジェクトを進める形が一般的です。もともとハワイ大学は、ハワイや環太平洋エリアという地理的優位性を活かした海洋研究で成果を上げており、Cancer CenterでもPopulation Scienceという統計や疫学の研究が盛んに行われてきました。しかし近年では、基礎研究の成果も目立つようになっています。
実際の研究を担うのは PhD studentやポスドク、そして学生ボランティアです。文化の違いもありますが、米国の大学生のプレゼンテーション能力は高く、またポスドクは長期に渡って研究に従事しており、研究をリードする能力にも優れています。ただし、ハワイは生活費が全米トップ3に入るほど高いため、一定期間を過ごした後に米国本土に戻る研究者も多く見かけます。

当センターはwet labを囲むようにデスクが配置してあります。ポスドクは2人で1部屋、PIは個室を使用しています。
学生ボランティアは、将来の進路に有利な研究経験やネットワーク作りが主な目的です。米国の医学部進学は非常に競争が激しく、大学でのGPA(日本の内申書に当たる)が高いことがまず条件となります。GPAが低い場合には、再度大学に入り直して成績を取り直す方もいます。また、病院や研究への貢献度も重視され、medical schoolに進学するため、MCATという日本の共通テストに相当する試験も受けます。資料を見せてもらったところ、臨床試験の知識や生物学、遺伝学など、日本の国家試験レベルに近い内容も含まれており、非常に驚きました。このような背景のもと、CV(Curriculum Vitae)を整えるためにラボワークをボランティアとして行う学生も多く、ラボから見ても無料で仕事をしてもらえるため、互いにメリットのある関係となっています。ここは日本の医学部進学との大きな違いだと感じます。
研究費確保と米国の現状

wet labの室内。この日は研究助手さんが学生ボランティアにいろいろと教えていました
この記事を書いている2025年10月7日現在、日本でいう「つなぎ予算」が議会で承認されなかったため、米国連邦政府はシャットダウンを始めて1週間が経過しました。essential worker以外は自宅待機となり、給与は再開時に支払われる(らしい)状況ですが、未払いとなっています。テレビやラジオでは、「誰がnon-essential workerなのか」といった皮肉も聞こえてきます。
米国のPIは常にグラント申請書類の作成に追われています。前述のポスドクをはじめ、チーム全体で研究を進めながら申請書類も作成しており、その膨大な作業量には圧倒されます。支給される金額は日本とは桁違いで、RO1と呼ばれる大規模プロジェクトでは、5年間で年間数百万ドル規模の資金が得られることもあります。しかし現状では連邦施設の閉鎖に伴いグラント審査も一時停止となり、学長からは前日に「シャットダウンが現実になる」とのメールが届きました。予想される影響として、グラント審査の凍結や資金配布の遅延、さらにはグラントの金額が大きいだけに、ラボで雇用しているスタッフへの給与支払いの遅れも考えられる、とありました。政権交代からわずか8ヵ月しか経っていないうちに、ワシントンから最も遠いハワイにも直接影響が及んでいることを日々実感しています。ラボには現金の確保を指示され、困ったときには大学に相談するよう連絡がありました。こうした変化の速さも含め、米国で研究を行う現実を肌で感じる日々です。
日米の研究文化の違い

当センターと地域communityを繋ぐイベントを定期的に開催しています。この日は乳がんサバイバーの方ががんについて、そしてcancer researchの大切さを伝えるイベントでした。地元のメディアに取り上げていただいたり、施設への寄付につながるイベントでもあり、本当にその貢献度には頭が下がります
日本の研究環境と比較すると、米国では自主性やリーダーシップが非常に重視されます。PhD studentやポスドクは、研究の計画から実施、結果の分析、プレゼンテーションまで主体的に行い、PIはサポートと資金確保に専念しています。一方、日本ではPIがより実務を管理するケースが多く、学生やポスドクが主体的に研究を進める文化は少ないように感じます。また、米国ではボランティアを含む学生の貢献度が研究者としての評価やキャリア形成に直結している点も大きな違いです。
こうした環境は自由度が高い反面、自己管理能力や計画力を強く求められます。とくに留学生にとっては、英語でのコミュニケーションや報告も求められるため、日本での研究生活とは異なる学びや挑戦が毎日あります。
バックナンバー
提供元:CareNet.com

本連載は、臨床研究のノウハウを身につけたいけれど、メンター不在の臨床現場で悩める医療者のための、「実践的」臨床研究入門講座です。臨床研究の実践や論文執筆に必要な臨床疫学や生物統計の基本について、架空の臨床シナリオに基づいた仮想データ・セットや、実際に英語論文化した臨床研究の実例を用いて、解説していきます。
Cox比例ハザード回帰モデルによる交絡因子調整の実際
前回まで、筆者らが出版した臨床研究の事例論文をもとに、Cox比例ハザード回帰モデルによる交絡因子の調整の考え方を解説しました。今回からは、われわれのResearch Question(RQ)をCox比例ハザード回帰モデルの数式(連載第57回参照)に当てはめて考えてみます。
アウトカムは「末期腎不全(透析導入)」であり(連載第49回参照)、生存時間分析においては、打ち切りの概念を含んだイベント発生の有無のデータに加え、at riskな観察期間のデータが必要でした(連載第37回、第41回参照)。
・Censor:イベント発生の有無(イベント発生=1、打ち切り=0)
・Year:at riskな観察期間(連続変数)
検証したい要因は、推定たんぱく質摂取量0.5g/kg標準体重/日未満(連載第49回参照)、すなわち「厳格低たんぱく食の遵守」です。
交絡因子は以下の要因を挙げています(連載第49回参照)。
年齢、性別、糖尿病の有無、血圧、ベースラインeGFR、蛋白尿定量、血清アルブミン値、ヘモグロビン値
これらの要因をCox比例ハザード回帰モデルの数式に当てはめると、次のようになります。
h(t|treat、age、sex、dm、sbp、eGFR、Loge_UP、albumin、hemoglobin)
=h(t)×exp(β1treat)×exp(β2age)×exp(β3sex)×exp(β4dm)×exp(β5sbp)×exp(β6eGFR)×exp(β7Loge_UP)×exp(β8albumin)×exp(β9hemoglobin)
=h(t)×exp(β1treat+β2age+β3sex+β4dm+β5sbp+β6eGFR+β7Loge_UP+β8albumin+β9hemoglobin)
treat:厳格低たんぱく食の遵守の有無(あり=1、なし=0)
age:年齢(連続変数)
sex:性別(男性=1、女性=0)
dm:糖尿病の有無(あり=1、なし=0)
sbp:収縮期血圧(連続変数)
eGFR :ベースラインeGFR(連続変数)
Loge_UP:蛋白尿定量_対数変換(連続変数)(連載第48回参照)
albumin:血清アルブミン値(連続変数)
hemoglobin:ヘモグロビン値(連続変数)
βn:各説明変数に対応する回帰係数
ここで求めたいのは、検証したい要因である厳格低たんぱく食の遵守の有無を示す変数treatに対応する回帰係数β1の指数変換値exp(β1)です。exp(β1)は、上述のようにモデルに投入したすべての説明変数(交絡因子)の影響を多変量解析で調整したハザード比(adjusted hazard ratio:aHR)を表します。すなわち、交絡因子を調整した後の厳格低たんぱく食遵守群と非遵守群のHRを示します。実際には、これらの回帰係数やaHRはEZR(Eazy R)などの統計解析ソフトを用いて、データ・セットから点推定値と95%信頼区間を推定します。
さて、Cox比例ハザード回帰モデルを適用するためには「比例ハザード性」の仮定が必要であることはすでに説明しました(連載第55回参照)。まずはKaplan-Meier曲線を描いて、生存曲線が交差していないことを確認することも解説しました。しかし、「比例ハザード性」の検証には、二重対数プロット(log-log plot)を評価することが必須とされています。
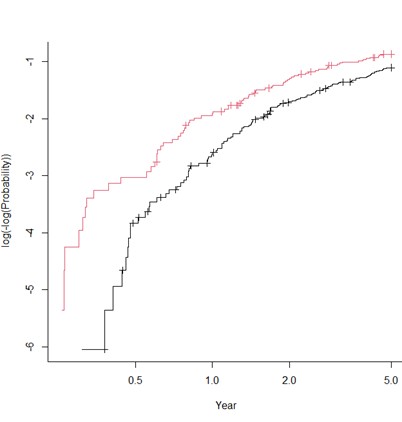
それでは、仮想データ・セットからEZRを使用して二重対数プロットを描いてみます。
まず、仮想データ・セットをダウンロードし、下記のデータが格納されていることを確認してください。
・A列:ID
・B列:Treat(1;厳格低たんぱく食遵守群、0;厳格低たんぱく食非遵守群)
・C列:Censor(1;アウトカム発生、0;打ち切り)
・D列:Year(at riskな観察期間)
次に、以下の手順でEZRに仮想データ・セットを取り込みましょう。
「ファイル」→「データのインポート」→「Excelのデータをインポート」
仮想データ・セットがインポートできたら、下記の手順で二重対数プロットを描画します。
「統計解析」→「生存期間の解析」→「生存曲線の記述と群間の比較(Logrank検定)」を選択
下記のウィンドウが開いたら、以下のとおりにそれぞれの変数を選択してください。
・観察期間の変数:Year
・イベント(1)、打ち切り(0)の変数:Censor
・群別する変数を選択:Treat
層別化変数は選択なし、その他の設定はとりあえずデフォルトのままで、「OK」ボタンをクリックします。

ここまでのEZRのGraphic User Interface(GUI)操作ではKaplan-Meier曲線だけが出力されますが、その際に自動生成されるRスクリプトに少し手を加えて、二重対数プロットを出力するという手順になります。
Rスクリプトのウィンドウに表示されたコードから、以下の行を探してください。
plot(km, bty=”l”, col=1:32, lty=1, lwd=1, conf.int=FALSE, mark.time=TRUE, xlab=”Year”, ylab=”Probability”)
このコードの末尾に、二重対数プロットを描画するオプションのコード(fun=”cloglog”)を加え、またY軸ラベル(ylab)も、わかりやすいようにlog(-log(Probability)に変更します。
plot(km, bty=”l”, col=1:32, lty=1, lwd=1, conf.int=FALSE, mark.time=TRUE, xlab=”Year”, ylab=” log(-log(Probability))”, fun=”cloglog”)
修正したコードをRスクリプトのウィンドウにコピペし、下図のようにカーソルを合わせた状態で「実行ボタン」をクリックします。

下図のような二重対数プロットが描けましたか。

各群の曲線を視覚的に確認し、この図のようにおおむね平行であれば「比例ハザード性」の仮定は成立すると判断でき、Cox比例ハザード回帰モデルの適用の妥当性が担保されます。

長谷川 毅 ( はせがわ たけし ) 氏
昭和医科大学臨床疫学研究所 所長・教授
昭和医科大学大学院医学研究科 衛生学・公衆衛生学分野/腎臓内科学分野 兼担教授
福島県立医科大学臨床研究イノベーションセンター 特任教授
[略歴]
1996年昭和大学(現昭和医科大学)医学部卒業。
2007年京都大学大学院医学研究科臨床情報疫学分野(臨床研究者養成コース)修了。
都市型および地方型の地域中核病院で一般内科から腎臓内科専門診療、三次救急から亜急性期リハビリテーション診療まで臨床経験を積む。その臨床経験の中で生じた「臨床上の疑問」を科学的に可視化したいという思いが募り、京都の公衆衛生大学院で臨床疫学を学び、米国留学を経て現在に至る。
バックナンバー
39. リサーチ・クエスチョンのブラッシュアップ‐E(要因)およびC(比較対照)設定の要点と実際 その2
38. リサーチ・クエスチョンのブラッシュアップ‐E(要因)およびC(比較対照)設定の要点と実際 その1
37. リサーチ・クエスチョンのブラッシュアップ‐O(アウトカム)設定の要点と実際 その2
36. リサーチ・クエスチョンのブラッシュアップ‐O(アウトカム)設定の要点と実際 その1
35. リサーチ・クエスチョンのブラッシュアップーP(対象)設定の要点と実際 その2
34. リサーチ・クエスチョンのブラッシュアップーP(対象)設定の要点と実際 その1
33. リサーチ・クエスチョンのブラッシュアップー関連研究レビュー 1次情報源の活用 実際にPubMed検索式を作ってみる その8
32. リサーチ・クエスチョンのブラッシュアップー関連研究レビュー 1次情報源の活用 実際にPubMed検索式を作ってみる その7
31. リサーチ・クエスチョンのブラッシュアップー関連研究レビュー 1次情報源の活用 実際にPubMed検索式を作ってみる その6
30. リサーチ・クエスチョンのブラッシュアップー関連研究レビュー 1次情報源の活用 実際にPubMed検索式を作ってみる その5
29. リサーチ・クエスチョンのブラッシュアップー関連研究レビュー 1次情報源の活用 実際にPubMed検索式を作ってみる その4
28. リサーチ・クエスチョンのブラッシュアップー関連研究レビュー 1次情報源の活用 実際にPubMed検索式を作ってみる その3
27. リサーチ・クエスチョンのブラッシュアップー関連研究レビュー 1次情報源の活用 実際にPubMed検索式を作ってみる その2
26. リサーチ・クエスチョンのブラッシュアップー関連研究レビュー 1次情報源の活用 実際にPubMed検索式を作ってみる その1
25. リサーチ・クエスチョンのブラッシュアップー関連研究レビュー 1次情報源の活用 PubMed検索 その5
24. リサーチ・クエスチョンのブラッシュアップー関連研究レビュー 1次情報源の活用 PubMed検索 その4
23. リサーチ・クエスチョンのブラッシュアップー関連研究レビュー 1次情報源の活用 PubMed検索 その3
22. リサーチ・クエスチョンのブラッシュアップー関連研究レビュー 1次情報源の活用 PubMed検索 その2
21. リサーチ・クエスチョンのブラッシュアップー関連研究レビュー 1次情報源の活用 PubMed検索 その1
20. リサーチ・クエスチョンのブラッシュアップー関連研究レビュー 学術誌、論文、著者の影響力の指標 その3
19. リサーチ・クエスチョンのブラッシュアップー関連研究レビュー 学術誌、論文、著者の影響力の指標 その2
18. リサーチ・クエスチョンのブラッシュアップー関連研究レビュー 学術誌、論文、著者の影響力の指標 その1
17. リサーチ・クエスチョンのブラッシュアップー関連研究レビュー CONNECTED PAPERSの活用 その3
16.リサーチ・クエスチョンのブラッシュアップー関連研究レビュー CONNECTED PAPERSの活用 その2
15. リサーチ・クエスチョンのブラッシュアップー関連研究レビュー CONNECTED PAPERSの活用 その1
14. リサーチ・クエスチョンのブラッシュアップー関連研究レビュー コクラン・ライブラリーの活用 その3
13. リサーチ・クエスチョンのブラッシュアップー関連研究レビュー コクラン・ライブラリーの活用 その2
12. リサーチ・クエスチョンのブラッシュアップー関連研究レビュー コクラン・ライブラリーの活用その1
11. リサーチ・クエスチョンのブラッシュアップー関連研究レビュー UpToDateの活用その2
10. リサーチ・クエスチョンのブラッシュアップー関連研究レビュー UpToDateの活用その1
9. リサーチ・クエスチョンのブラッシュアップー関連研究レビュー 文献管理その3
8. リサーチ・クエスチョンのブラッシュアップー関連研究レビュー 文献管理その2
7. リサーチ・クエスチョンのブラッシュアップー関連研究レビュー 文献管理その1
6. リサーチ・クエスチョンのブラッシュアップー関連研究レビュー 診療ガイドラインの活用その3
5. リサーチ・クエスチョンのブラッシュアップー関連研究レビュー 診療ガイドラインの活用その2
4. リサーチ・クエスチョンのブラッシュアップー関連研究レビュー 診療ガイドラインの活用その1
3. リサーチ・クエスチョンのブラッシュアップー関連研究レビューその2
掲載内容はケアネットの見解を述べるものではございません。
(すべての写真・図表等の無断転載を禁じます。)

[レポーター紹介]
高橋 洋子(たかはし ようこ)

山形大学医学部 卒業
東京医療センター 外科研修医
慶應義塾大学 一般・消化器外科 乳腺班
国際医療福祉大学/医療法人順和会 山王病院 乳腺外科
帝京大学医学部 外科
がん研究会有明病院 乳腺外科
University of Hawai`i Cancer Center, Translational and Clinical Research, Cancer Biology, Research Scholar
アクセプトされた論文と投稿を断念した論文、論文執筆の面白さと難しさ
私は現在、乳がんに関する研究に取り組んでおり、主に gene signature に関する研究を進めるのと並行して、炎症性乳がんに関するレビュー論文の執筆も行いました。幸運にも、このレビュー論文は npj Breast Cancer にアクセプトされ、出版に至りました。さまざまな論文を読みながら執筆を進める中で、新しい論文が次々に発表されるという、レビュー論文ならではのスピード感のある世界を経験することができました。
渡米直後には、新しくチームに加わり、CDK4/6阻害薬に関するレビュー論文を中心となって作成し、投稿寸前まで進めたのですが、同じテーマの論文が狙っていた雑誌で先に出版されてしまい、チームで相談のうえ、投稿を断念した経験もあります。早く完成させた分、正直心が折れそうになりましたが、これも研究の現実として受け入れるしかないと感じました。
gene signature に関する研究は、PIと共に働いてきた先生の基礎データを基に仮説を立てて進めました。製薬会社から提供された臨床試験データを用いて解析を行いましたが、残念ながら仮説を支持する明確な結果は得られず、わずかな傾向は見られたものの、結果としてはネガティブであり、公表には至りませんでした。留学直後から取り掛かり、時間をかけてデータ解析まで進めただけに、正直ネガティブデータとして公表できないかと模索しましたが、今後の研究展開を考えると、現時点で発表するべきではないと判断しました。
ハワイでの研究生活については、よく「憧れる」と言われますが、実際にはワイキキに行くこともほとんどなく、地元の人々との生活が中心のため、観光気分を味わうことはほぼありません(笑)。ただし、気候は素晴らしく、毎日青い空を見られることは、研究でネガティブな結果が出ても少し救われるところでもあります。

研究の合間に週末はラボの仲間と月一でハイキングに。住む前はハワイのイメージといえば海でしたが、米国人にとってのハワイの島々は、絶景を伴うハイキングスポットだそうです

この日は日の出の時間に10人程度で集まってハイキング。岩に穴が空いているlocalのみぞ知るハイキングスポットへ
現在注目されている米国での研究トピック

実はハワイ大学のバレーボールチームは全米大学1位を2年連続でとったこともある強豪。卒業後イタリアプロリーグに進む人もいるほど。この日はがん関連のイベントがありCancer Centerメンバー数十人で、スペシャルシートへ。昨シーズンは優勝とはなりませんでしたが、勝利をおさめた瞬間です!
米国での研究トピックとしては、やはり AI は外せません。私が現在行っている研究の1つは AI を用いた乳がん診断ですが、渡米前にもがん研究会と Google 社で行った研究に従事し AI 診断の難しさを感じていました。しかし、米国で画像を見てみると、高濃度乳房は少なく、AI 診断の可能性を強く感じます。近年では ChatGPT のような生成 AI も研究支援やデータ解析など幅広い用途で活用されており、臨床・研究の双方で注目されています。
一方で、政策による補助金削減は組織にも大きな影響を及ぼしており、ハワイ大学でも新規採用の凍結や、バチェラー以上の学歴者のみ採用可能といった変化が見られます。渡米してまだ半年程度ですが、日々大きな環境変化を肌で感じています。また、入国審査がいつ厳しくなるかわからないため、大学では海外からの学生やスタッフに対して原則米国を出ることを認めない方針が取られており、日本に帰ることもなかなか叶いません。
こうした状況の中でも、日々の研究や執筆を通じて新しい知見を得ることは、臨床経験とはまた異なる学びを与えてくれます。特に乳がん分野では、遺伝子解析や AI の活用といった新しい技術が急速に進展しており、これらを臨床に応用するための研究は今後ますます重要になると感じています。
バックナンバー
提供元:CareNet.com

本連載は、臨床研究のノウハウを身につけたいけれど、メンター不在の臨床現場で悩める医療者のための、「実践的」臨床研究入門講座です。臨床研究の実践や論文執筆に必要な臨床疫学や生物統計の基本について、架空の臨床シナリオに基づいた仮想データ・セットや、実際に英語論文化した臨床研究の実例を用いて、解説していきます。
Cox比例ハザード回帰モデルによる交絡因子の調整
前回まで、Cox比例ハザード回帰モデルの基本的な考え方を説明しました。今回は、Cox比例ハザード回帰モデルによる交絡因子(連載第45回参照)の調整について、前回に引き続き筆者らが出版した実際の臨床研究論文1)のリサーチ・クエスチョン(RQ)を例にして解説します。
Cox比例ハザード回帰モデルは、イベント発生までの時間(生存時間)に対する多変量解析手法です(連載第50回参照)。このモデルにより、特定の要因がハザード(ある瞬間におけるイベント発生のリスク、すなわち瞬間的なイベント発生率)に与える影響を評価できます(連載第55回参照)。
Cox比例ハザード回帰モデルの基本的な形は以下のような積(かけ算)の式で表されます(連載第56回参照)。
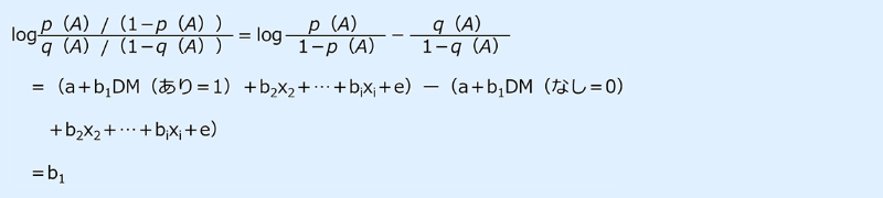
h(t|X)=h0(t)×exp(β1X1+β2X2・・・+βnXn)
h(t|X):特定の説明変数のセットXを持つ個体の時点tにおけるハザード
h0(t):基準ハザード関数
X1、X2、…、Xn:交絡因子を含む説明変数
β1、β2、…、βn:各説明変数に対応する回帰係数
上記のように、Cox比例ハザード回帰モデルを用いた交絡因子の調整は、回帰モデルの式に交絡因子を説明変数として含めることで行われます。
たとえば、事例論文1)の要因である透析導入前腎専門医診療(Pre-Nephrology Visit:PNV)の有無という変数X1が透析導入後早期(1年以内)の死亡のハザード(アウトカム)に与える影響を評価する際に、糖尿病(DM)の有無(X2)が交絡因子であるとします。この場合、回帰モデルの式は以下のようになります。
h(t|X1、X2)=h0(t)×exp(β1X1)×exp(β2X2)=h0(t)×exp(β1X1+β2X2)
X1:PNVの有無(あり=1、なし=0)
X2:DMの有無(あり=1、なし=0)
この回帰モデルでは、回帰係数β1は、DMの有無(X2)の効果であるexp(β2X2)を調整したうえでの、PNVの有無(X1)がハザードに与える影響を推定します(連載第55回、第56回参照)。DMという交絡因子の影響を取り除いたPNVの調整ハザード比(adjusted hazard ratio:aHR)は exp(β1)となります。
事例論文1)では、交絡因子として、年齢、性別、血液検査データ(ヘモグロビンや血清アルブミンなど)やDMを含む14の並存疾患などの要因を交絡因子として調整したと記載されています。したがって、この研究で実際に使用されたCox比例ハザード回帰モデルの簡略化された概念的な式は、以下のようになります。
h(t|PNV、Age、Sex、…、DM)=h0(t)×exp(βPNV・PNV+βAge・Age+βSex・Sex+・・・+βDM・DM)
βPNVの指数変換 exp(βPNV)がPNVのaHRとなり、事例論文1)で点推定値は0.57と報告されています 。95%信頼区間(95%confidence interval:95%CI)は0.50〜0.66と1をまたいでおらず、p<0.0001と統計学的にも有意差を認めました。
これは、すべての交絡因子を統計的に調整した後でも、PNVを受けた患者群はPNVを受けなかった患者群と比較して、透析導入後早期(1年以内)死亡のリスクが43%低いことを意味します(1-0.57=0.43)。腎臓内科医の存在意義? の1つを示す解析結果を出せた、と安堵しました。
【 引用文献 】

長谷川 毅 ( はせがわ たけし ) 氏
昭和医科大学臨床疫学研究所 所長・教授
昭和医科大学大学院医学研究科 衛生学・公衆衛生学分野/腎臓内科学分野 兼担教授
福島県立医科大学臨床研究イノベーションセンター 特任教授
[略歴]
1996年昭和大学(現昭和医科大学)医学部卒業。
2007年京都大学大学院医学研究科臨床情報疫学分野(臨床研究者養成コース)修了。
都市型および地方型の地域中核病院で一般内科から腎臓内科専門診療、三次救急から亜急性期リハビリテーション診療まで臨床経験を積む。その臨床経験の中で生じた「臨床上の疑問」を科学的に可視化したいという思いが募り、京都の公衆衛生大学院で臨床疫学を学び、米国留学を経て現在に至る。
バックナンバー
39. リサーチ・クエスチョンのブラッシュアップ‐E(要因)およびC(比較対照)設定の要点と実際 その2
38. リサーチ・クエスチョンのブラッシュアップ‐E(要因)およびC(比較対照)設定の要点と実際 その1
37. リサーチ・クエスチョンのブラッシュアップ‐O(アウトカム)設定の要点と実際 その2
36. リサーチ・クエスチョンのブラッシュアップ‐O(アウトカム)設定の要点と実際 その1
35. リサーチ・クエスチョンのブラッシュアップーP(対象)設定の要点と実際 その2
34. リサーチ・クエスチョンのブラッシュアップーP(対象)設定の要点と実際 その1
33. リサーチ・クエスチョンのブラッシュアップー関連研究レビュー 1次情報源の活用 実際にPubMed検索式を作ってみる その8
32. リサーチ・クエスチョンのブラッシュアップー関連研究レビュー 1次情報源の活用 実際にPubMed検索式を作ってみる その7
31. リサーチ・クエスチョンのブラッシュアップー関連研究レビュー 1次情報源の活用 実際にPubMed検索式を作ってみる その6
30. リサーチ・クエスチョンのブラッシュアップー関連研究レビュー 1次情報源の活用 実際にPubMed検索式を作ってみる その5
29. リサーチ・クエスチョンのブラッシュアップー関連研究レビュー 1次情報源の活用 実際にPubMed検索式を作ってみる その4
28. リサーチ・クエスチョンのブラッシュアップー関連研究レビュー 1次情報源の活用 実際にPubMed検索式を作ってみる その3
27. リサーチ・クエスチョンのブラッシュアップー関連研究レビュー 1次情報源の活用 実際にPubMed検索式を作ってみる その2
26. リサーチ・クエスチョンのブラッシュアップー関連研究レビュー 1次情報源の活用 実際にPubMed検索式を作ってみる その1
25. リサーチ・クエスチョンのブラッシュアップー関連研究レビュー 1次情報源の活用 PubMed検索 その5
24. リサーチ・クエスチョンのブラッシュアップー関連研究レビュー 1次情報源の活用 PubMed検索 その4
23. リサーチ・クエスチョンのブラッシュアップー関連研究レビュー 1次情報源の活用 PubMed検索 その3
22. リサーチ・クエスチョンのブラッシュアップー関連研究レビュー 1次情報源の活用 PubMed検索 その2
21. リサーチ・クエスチョンのブラッシュアップー関連研究レビュー 1次情報源の活用 PubMed検索 その1
20. リサーチ・クエスチョンのブラッシュアップー関連研究レビュー 学術誌、論文、著者の影響力の指標 その3
19. リサーチ・クエスチョンのブラッシュアップー関連研究レビュー 学術誌、論文、著者の影響力の指標 その2
18. リサーチ・クエスチョンのブラッシュアップー関連研究レビュー 学術誌、論文、著者の影響力の指標 その1
17. リサーチ・クエスチョンのブラッシュアップー関連研究レビュー CONNECTED PAPERSの活用 その3
16.リサーチ・クエスチョンのブラッシュアップー関連研究レビュー CONNECTED PAPERSの活用 その2
15. リサーチ・クエスチョンのブラッシュアップー関連研究レビュー CONNECTED PAPERSの活用 その1
14. リサーチ・クエスチョンのブラッシュアップー関連研究レビュー コクラン・ライブラリーの活用 その3
13. リサーチ・クエスチョンのブラッシュアップー関連研究レビュー コクラン・ライブラリーの活用 その2
12. リサーチ・クエスチョンのブラッシュアップー関連研究レビュー コクラン・ライブラリーの活用その1
11. リサーチ・クエスチョンのブラッシュアップー関連研究レビュー UpToDateの活用その2
10. リサーチ・クエスチョンのブラッシュアップー関連研究レビュー UpToDateの活用その1
9. リサーチ・クエスチョンのブラッシュアップー関連研究レビュー 文献管理その3
8. リサーチ・クエスチョンのブラッシュアップー関連研究レビュー 文献管理その2
7. リサーチ・クエスチョンのブラッシュアップー関連研究レビュー 文献管理その1
6. リサーチ・クエスチョンのブラッシュアップー関連研究レビュー 診療ガイドラインの活用その3
5. リサーチ・クエスチョンのブラッシュアップー関連研究レビュー 診療ガイドラインの活用その2
4. リサーチ・クエスチョンのブラッシュアップー関連研究レビュー 診療ガイドラインの活用その1
3. リサーチ・クエスチョンのブラッシュアップー関連研究レビューその2
掲載内容はケアネットの見解を述べるものではございません。
(すべての写真・図表等の無断転載を禁じます。)